1.2.1.1 Подготовка окружения
Компоненты системы
Особенности настройки
Порты и протоколы, используемые системой
Планирование ресурсов сервера РЕД АДМ
РЕД АДМ Клиент
Требования к веб-управлению
Окружение
- Версия ОС: РЕД ОС 8
- Конфигурация ОС: Сервер
- Версия ПО: redadm-2.0.0
Компоненты системы
1. Для развёртывания системы потребуются:
1) Доступ к репозиториям.
2) Сервер с установленной операционной системой РЕД ОС 8 в конфигурации «Сервер», необходимый для установки РЕД АДМ Сервер (сервера подсистемы управления).
3) Развёрнутый контроллер домена (КД). Существующий контроллер домена должен быть на базе Samba или Microsoft Active Directory (MS AD). Особенности работы с КД и его предварительной настройки см. ниже.
4) Клиентские машины (клиентские компьютеры, клиенты) в домене. Работа с ними описана в разделе «Работа с компьютерами» в руководстве по администрированию.
Клиентское приложение (агент) может быть установлено на клиентских машинах под управлением операционной системы (ОС) РЕД ОС.
Особенности настройки
Указания данного подраздела являются обязательными.
1. Хост, на котором будет развёрнут РЕД АДМ Сервер:
-- должен находиться в одной сети с контроллером домена, которым он будет управлять;
-- НЕ должен быть в составе домена.
2. SELinux должен быть переведён в режим permissive на машине, где развёртывается РЕД АДМ Сервер.
3. РЕД АДМ требует прямого доступа по сети между сервером РЕД АДМ и клиентом по TCP-портам 80, 443 и 5000. При использовании firewalld эти порты должны быть открыты.
Например, для открытия порта 5000 надо выполнить команду:
firewall-cmd --zone=public --add-port=5000/tcp --permanent
после чего перезагрузить службу:
firewall-cmd --reload
Полный перечень портов, используемых системой РЕД АДМ, приведён ниже.
4. Если вы планируете подключать РЕД АДМ к КД на базе MS AD, то убедитесь, что возможно подключение по LDAPS. На самом КД MS AD проверку можно выполнить с помощью утилиты ldp.exe.
Для настройки подключения по LDAPS необходимо настроить Центр сертификации (см. раздел «Настройки в домене MS AD»).
5. Для именования вашего локального домена верхнего уровня (TLD) не используйте .local, поскольку RFC6762 резервирует этот домен исключительно для использования в MulticastDNS.
6. Не рекомендуется использовать учётную запись администратора домена для работы в РЕД АДМ. Оптимальным вариантом является настройка прав в ролевой системе РЕД АДМ для других учётных записей в домене.
7. В целях безопасности все учётные записи необходимо создавать со сложным паролем длиной более 8 символов, содержащим строчные (a-z) и прописные (A-Z) буквы, цифры (0-9), а также хотя бы один специальный символ, иначе во входе в веб-интерфейс РЕД АДМ будет отказано.
8. Для совместной работы компонент системы необходимо, чтобы был заранее создан привилегированный пользователь, входящий в группу wheel:
-- на машине, на которой будет разворачиваться РЕД АДМ Сервер;
-- на клиентских машинах.
Для добавления пользователя с именем your_user в группу wheel выполните команду:
usermod -a -G wheel your_user
Также можно использовать учётную запись суперпользователя root и не создавать новую учётную запись.
9. Если вы отключаете IPv6 на хосте, где будет развёрнут РЕД АДМ Сервер, то после отключения выполните следующие действия.
1) Отредактируйте файл /etc/hosts, удалив оттуда строку:
::1 localhost localhost.localdomain localhost6 localhost6.localdomain6
2) Отредактируйте файл /etc/sysconfig/memcached, удалив из списка значений параметра OPTIONS значение ::1. То есть, строку
OPTIONS="-l 127.0.0.1,::1"
приведите к виду:
OPTIONS="-l 127.0.0.1"
Порты и протоколы, используемые системой
Установка и обновление пакетов ПО из локального репозитория
Источник: локальный репозиторий пакетов.
Приемник: клиентская машина.
Направление передачи: в обе стороны.
Порты и протоколы: 80 TCP, 443 TCP.
Подключение РЕД АДМ Сервер к контроллеру домена
Источник: контроллер домена.
Приемник: РЕД АДМ Сервер.
Направление передачи: в обе стороны.
Порты и протоколы: 389 TCP, 636 TCP, 8200 TCP.
Взаимодействие сервера РЕД АДМ с клиентскими рабочими станциями
Источник: РЕД АДМ Сервер.
Приемник: клиентская машина.
Направление передачи: в обе стороны.
Порты и протоколы: 80 TCP, 443 TCP, 5000 TCP, 5900-5906 TCP/UDP. Для работы с внедоменными компьютерами -- 22 TCP.
Планирование ресурсов сервера РЕД АДМ
Сервер РЕД АДМ развёртывается на отдельной серверной машине, отличной от той, где развёрнут контроллер домена.
На каждый сайт необходим один сервер РЕД АДМ.
Здесь приводятся рекомендации по оптимизации ресурсов в части выбора характеристик серверной машины, на которой установлен РЕД АДМ. Данные ниже оценки приводятся для выделенной серверной машины с установленной операционной системой РЕД ОС 8 «Сервер».
Базовый случай -- до 1000 клиентских машин включительно, для их обслуживания требуются следующие параметры серверной машины:
-- ЦПУ -- 4 ядра с частотой от 1,6 ГГц;
-- объём ОЗУ -- 8 Гбайт;
-- объём накопителя HDD/SSD -- 100 Гбайт (крайне рекомендуется SSD со скоростью передачи данных 600 Мбит/с и выше);
-- скорость сети от 1 Гбит/c.
Центральный процессор
Для ЦПУ примерная зависимость от нагрузки следующая:
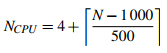
-- не более 1000 обслуживаемых хостов -- 4 ядра;
-- если хостов больше 1000, то используется формула:

Квадратные скобки ⌈ ... ⌉ обозначают округление вверх до ближайшего целого.
Оперативная память
Для ОЗУ примерная зависимость объёма от нагрузки следующая:
-- не более 1000 обслуживаемых хостов –- 8 Гбайт ОЗУ;
-- если хостов больше 1000, то используется формула:

Жёсткий диск
Для жёсткого диска примерная зависимость объёма от нагрузки следующая:
-- не более 1000 обслуживаемых хостов -- 100 Гбайт;
-- для каждых следующих 1000 хостов -- плюс 100 Гбайт.
Если выразить зависимость через формулу, то для N хостов:

Здесь уже учтено, что сама операционная система с установленным дистрибутивом РЕД АДМ Сервер занимает около 10 Гбайт.
Сетевой интерфейс
Для всей области применимости РЕД АДМ достаточна пропускная способность сетевой карты, равная 1 Гбит/с.
Примеры масштабирования
Ниже приведена сводная таблица с результатами оценки требуемых значений параметров сервера (ЦПУ, объёмов ОЗУ и жёсткого диска) для успешной работы с указанным количеством обслуживаемых клиентских машин (хостов). Оценка производится со значительным запасом по ресурсам: для теоретического случая с одновременным запуском на всех хостах по 100 задач.
|
Количество клиентских машин |
Ядра ЦПУ, штук |
Объём памяти ОЗУ, Гбайт |
Объём жёсткого диска, Гбайт |
| 100 | 4 | 8 | 100 |
| 500 | 4 | 8 | 100 |
| 1000 | 4 | 8 | 100 |
| 2000 | 6 | 10 | 200 |
РЕД АДМ Клиент
1. РЕД АДМ Клиент необходим для взаимодействия сервера РЕД~АДМ и компьютеров в инфраструктуре. Развёртывание клиентского агента на компьютеры описано в разделе «Работа с компьютерами» в руководстве по администрированию.
2. Минимальные и рекомендуемые требования к оборудованию совпадают с требованиями к операционной системе, на которую устанавливается РЕД АДМ Клиент -- это РЕД ОС в конфигурации «Рабочая станция» версий 7 или 8.
3. В таблице ниже приведены минимальные требования к оборудованию.
| Конфигурация | Минимальные требования |
|
Центральный процессор |
4 ядра по 2 ГГц |
| ОЗУ | 4 Гбайт |
| Хранилище | 100 Гбайт (желательно SSD) |
Требования к веб-управлению
Для доступа к веб-управлению необходимо наличие одного из следующих браузеров:
-- Chromium версии 90.x или выше;
-- Firefox версии 78.x или выше;
-- Яндекс.Браузер версии 22.7.5 или выше.
Дата последнего изменения: 08.04.2026
Если вы нашли ошибку, пожалуйста, выделите текст и нажмите Ctrl+Enter.